Είναι δίκαιοι οι δασμοί του Τραμπ έναντι της ΕΕ;
12/04/2025
Οι έμποροι που νομίζουν ότι είναι ποιητές… Η επιβολή “αμοιβαίου” δασμού (αρχικά) 20 % στα προϊόντα της ΕΕ που εισέρχονται στις Ηνωμένες Πολιτείες, σύμφωνα με τον Τραμπ, είναι μια «τίμια» απάντηση στην επιβολή δασμολογικών και μη δασμολογικών επιβαρύνσεων ύψους 39%, που με τη σειρά τη η ΕΕ επιβάλλει στις εισαγωγές από τις ΗΠΑ.
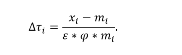
Η αδυναμία ακριβούς μέτρησης των μη δασμολογικών επιβαρύνσεων οδήγησε το Office of the United States Trade Representative- Executive Office of the President (υπεύθυνο για την ανάπτυξη των πολιτικών εξωτερικού εμπορίου των ΗΠΑ) να χρησιμοποιήσει τον παρακάτω συγκεκριμένο τύπο:
Θεωρούμε ότι οι ΗΠΑ επιβάλλουν δασμό με συντελεστή τi στη χώρα i . Tο ΔτI δείχνει τη μεταβολή του δασμολογικού συντελεστή. Έστω ε<0 η ελαστικότητα των εισαγωγών σε σχέση με τις τιμές εισαγωγής, και έστω φ>0 η επιπτώσεις του δασμού στις τιμές εισαγωγής. H μεταβλητή mi>0 αντιπροσωπεύει τις συνολικές εισαγωγές από τη χώρα i και η μεταβλητή xi>0 τις συνολικές εξαγωγές.
Η μείωση των εισαγωγών λόγω μεταβολής του ποσοστού των δασμών ισούται με Δτi*ε*φ*mi<0. Υποθέτοντας ότι τα αποτελέσματα αντιστάθμισης της συναλλαγματικής ισοτιμίας και της γενικής ισορροπίας είναι αρκετά μικρά ώστε να αγνοηθούν, το αμοιβαίο ποσοστό δασμών που οδηγεί σε ένα διμερές εμπορικό ισοζύγιο μηδέν ικανοποιεί τον παραπάνω τύπο.
Ο λανθασμένος μαθηματικός τύπος
Εκτός ότι πρόκειται για έναν αυθαίρετο τρόπο υπολογισμού κυρίως του μη δασμολογικού βάρους που ο Τραμπ υποθέτει ότι εφαρμόζονται στις εξαγωγές ΗΠΑ, τα στοιχεία που χρησιμοποιούνται για τον υπολογισμό φαίνεται ότι είναι λανθασμένα.
«Η ιδέα του τρόπου υπολογισμού είναι ότι καθώς αυξάνονται οι δασμοί, η αλλαγή στο εμπορικό έλλειμμα θα εξαρτηθεί από την ανταπόκριση της ζήτησης εισαγωγών στους δασμούς, η οποία εξαρτάται από το πώς η ζήτηση εισαγωγών ανταποκρίνεται στις τιμές εισαγωγής και πώς οι τιμές εισαγωγής ανταποκρίνονται στους δασμούς. Η κυβέρνηση Τραμπ υποθέτει ελαστικότητα ζήτησης εισαγωγών σε σχέση με τις τιμές εισαγωγής ίσον με το 4 και ελαστικότητα τιμών εισαγωγής σε σχέση με δασμούς 0,25. Το γινόμενο των οποίων είναι 1 και είναι ο λόγος που ακυρώνονται στον τύπο της διοίκησης.
Ωστόσο, η ελαστικότητα των τιμών εισαγωγής σε σχέση με τους δασμούς θα πρέπει να είναι περίπου ένα (στην πραγματικότητα 0,945), όχι 0,25 όπως αναφέρει η κυβέρνηση Τραμπ. Το λάθος τους είναι ότι βασίζουν την ελαστικότητα στην ανταπόκριση των τιμών λιανικής στους δασμούς, σε αντίθεση με τις τιμές εισαγωγής όπως θα έπρεπε.
Το άρθρο που αναφέρουν από τον Alberto Cavallo και τους συνεργάτες του καθιστά σαφή αυτή τη διάκριση. Οι συγγραφείς δηλώνουν ότι “οι δασμοί [μεταβιβάζονται] σχεδόν πλήρως στις τιμές εισαγωγών των ΗΠΑ”, ενώ βρίσκουν “πιο μικτά στοιχεία σχετικά με τις αυξήσεις των τιμών λιανικής”. Δεν είναι συνεπής ο πολλαπλασιασμός της ελαστικότητας της ζήτησης εισαγωγών σε σχέση με τις τιμές εισαγωγής με την ελαστικότητα των τιμών λιανικής σε σχέση με τους δασμούς».
Πόσο πρέπει να μειωθούν οι δασμοί
Αν ισχύουν αυτές οι ενστάσεις τότε οι υπολογισθέντες δασμοί για όλες τις χώρες θα πρέπει να μειωθούν τέσσερις φορές! Στην περίπτωση επομένως της ΕΕ το δασμολογικό και το μη δασμολογικό βάρος είναι 10% και όχι 39% και οι «αμοιβαίοι» δασμοί του Τραμπ θα έπρεπε να είναι 5% (και όχι 10% που είναι πλέον μετά το “πάγωμα).
Σύμφωνα με την Ευρωπαϊκή Επιτροπή, ο μέσος δασμός που επιβάλλεται στα προϊόντα των ΗΠΑ είναι περίπου 1%. Αντιστοίχως σύμφωνα με υπολογισμούς του Παγκόσμιου Οργανισμού Εμπορίου, το μέσο ποσοστό είναι γύρω στο 4,8%. Τώρα, το πώς επιτεύχθηκε αυτό το 39 %, αναφέρεται στην Έκθεση Εθνικής Εκτίμησης Εμπορίου για τους εμπορικούς φραγμούς.
Στις 40 σελίδες που είναι αφιερωμένες στην Ευρωπαϊκή Ένωση, εξηγείται ότι ελήφθησαν υπόψη μέτρα που θεωρούσαν οι Αμερικανοί ως εμπόδια στις εξαγωγές τους: Περιβαλλοντικοί, υγειονομικοί και ψηφιακοί κανόνες, κανονισμοί κατά της διαφθοράς, της πνευματικής ιδιοκτησίας και της αντιμονοπωλιακής νομοθεσίας. Εν ολίγοις, εκείνοι οι συλλογικοί κανόνες που αποτελούν τον ακρογωνιαίο λίθο της ευρωπαϊκής οικοδόμησης και που δεν αρέσουν στον Τραμπ.
Ο νόμος DSA
Πρώτα απ’ όλα πρόκειται για το νόμο για τις ψηφιακές υπηρεσίες, που τέθηκε σε ισχύ το 2022, και ρυθμίζει «τις επιχειρηματικές πρακτικές ορισμένων μεγάλων παρόχων ψηφιακών υπηρεσιών», όπως οι μεγάλες πλατφόρμες Big Tech: Facebook, Google, X, TikTok . Εν ολίγοις, ο κανονισμός απαιτεί σημαντικές ενέργειες διαφάνειας για τους συντονιστές, τις συστάσεις και τα δεδομένα που χρησιμοποιούνται.
Ο συγκεκριμένος νόμος γνωστός ως DSA (Digital Service Act), «παρέχει στα κράτη μέλη και στην Επιτροπή την εξουσία να επιβάλλουν πρόστιμα που δεν υπερβαίνουν το έξι τοις εκατό του συνολικού ετήσιου κύκλου εργασιών και, σε ορισμένες περιπτώσεις, μπορεί να επιβάλλει περιοδικό πρόστιμο έως και 5 τοις εκατό του μέσου παγκόσμιου ημερήσιου κύκλου εργασιών για κάθε ημέρα. Ακολουθούν τα ζητήματα που σχετίζονται με τους κανονισμούς για την υγιεινή των τροφίμων. Υπάρχει ένας μεγάλος κατάλογος θεμάτων για τα οποία οι ΗΠΑ αμφισβητούν ευρωπαϊκούς υγειονομικούς κανονισμούς».
Υποστηρίζουν ότι «Εφαρμόζονται υπερβολικά χωρίς επαρκή επιστημονικά στοιχεία». Δηλαδή, με βάση «τον παράγοντα κινδύνου και όχι τον αποδεδειγμένο κίνδυνο». Ούτε τους αρέσουν «οι πολλαπλοί κανονισμοί που στοχεύουν στη μείωση της χρήσης φυτοφαρμάκων, λιπασμάτων και αντιμικροβιακών στη γεωργική παραγωγή».
Η Ουάσιγκτον επικρίνει επίσης την αργή έγκριση των «γενετικά τροποποιημένων καλλιεργειών» που ισχυρίζεται ότι έχουν το πλεονέκτημα της «μειωμένης χρήσης φυτοφαρμάκων». Και επίσης την απαγόρευση των θεραπειών μείωσης των παθογόνων για ζώα που έχουν όμως «εγκριθεί για χρήση από υγειονομικές υπηρεσίες των ΗΠΑ». Διαφωνούν με την «ονομασία προέλευσης» των τυριών και των κρασιών κτλ.
Στη συνέχεια οι ΗΠΑ υποστηρίζουν ότι υπάρχει «έλλειψη διαφάνειας στις διαδικασίες δημοσίων συμβάσεων ορισμένων κρατών μελών, η οποία αποτελεί εμπόδιο στη συμμετοχή των αμερικανικών εταιρειών». Οι τελευταίοι ανησυχούν για «επαχθείς απαιτήσεις τεκμηρίωσης και σιωπηρή μεροληψία υπέρ των τοπικών προμηθευτών και άλλων που βασίζονται στο χαμηλότερο κόστος και όχι σε ολόκληρο τον κύκλο ζωής της σύμβασης».
Τί επιδιώκει ο Τραμπ
Είναι μόνο από τις ισχύουσες ρυθμίσεις στην ΕΕ τις οποίες οι ΗΠΑ και ο Τραμπ τις τοποθετούν στην πλευρά των μη δασμολογικών εμποδίων και τα λαμβάνουν υπόψη τους στον υπολογισμό του ύψους του δασμού που έχουν επιβάλλει. Γίνεται αντιληπτό ότι ουσιαστικά ο Τραμπ επιδιώκει να καταργήσει κάθε τι διαφορετικό – πρωτίστως πολιτιστικά και κοινωνικά – υπάρχει στην ΕΕ, στο όνομα του δίκαιου εμπορίου, το οποίο θα επιτύχει εκβιάζοντας με τους δασμούς! Πρόκειται για μια προσπάθεια ισοπέδωσης των πάντων, στο όνομα μόνο του κέρδους των επιχειρήσεων.
Καμία προστασία, το χρήμα γίνεται πλέον και στην πράξη το γενικό ισοδύναμο της ανθρώπινης ύπαρξης. Αντηχούν στα αυτιά μου τα λόγια του Max Weber: «Εκεί όπου η φαντασία ενός ολόκληρου λαού κατευθύνεται μόνο προς τα καθαρά ποσοτικά μεγέθη, όπως στις ΗΠΑ, αυτός ο ρομαντισμός των υπολογισμών, ενεργεί σαν ακαταμάχητο θέλγητρο σε αυτούς τους εμπόρους οι οποίοι, θεωρούν ότι είναι με τον τρόπο τους, ποιητές». (M. Weber, Η Προτεσταντική ηθική και το πνεύμα του καπιταλισμού).





