Γιατί είναι συνεχώς χαμηλότερος από τον εναρμονισμένο ο εθνικός πληθωρισμός;
06/08/2025
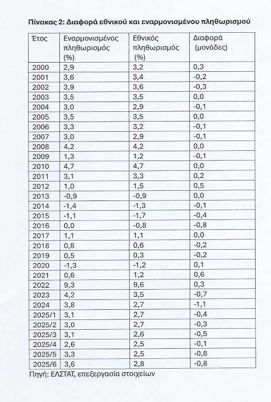
Σε αντίθεση με την προηγούμενη περίοδο από το 2000 έως τον Μάρτιο του 2023, επί 27 μήνες, από τον Απρίλιο του 2023 έως σήμερα, ο εθνικός πληθωρισμός, ενώ καταρτίζεται, όπως και ο εναρμονισμένος, από ίδια στοιχεία (εθνικοί λογαριασμοί και έρευνα οικογενειακών προϋπολογισμών) εμφανίζεται ανά μήνα συνεχώς χαμηλότερος από τον εναρμονισμένο, που αποτελεί τη βάση για τον αντίστοιχο της Ευρωζώνης και που περιλαμβάνει, μεταξύ άλλων, δαπάνες τουριστών και ατόμων που διαμένουν σε ιδρύματα και συλλογικά νοικοκυριά (γηροκομεία, οικοτροφεία, φυλακές κλπ.)
Στις 9 Ιουλίου 2025 η ΕΛΣΤΑΤ ανακοίνωσε ότι ο εθνικός δείκτης τιμών καταναλωτή παρουσίασε τον περασμένο Ιούνιο μεταβολή 2,8% και ο εναρμονισμένος δείκτης τιμών καταναλωτή 3,6%. Δηλαδή, ο εθνικός πληθωρισμός ήταν χαμηλότερος κατά 0,8 μονάδες από τον εναρμονισμένο, όσο ακριβώς και τον περασμένο Μάϊο, όταν στις 10 Ιουνίου 2025 η ΕΛΣΤΑΤ ανακοίνωσε μεταβολές κατά 2,5% και 3,3% αντίστοιχα. Η εμφάνιση του εθνικού πληθωρισμού κατά 0,8 μονάδες χαμηλότερου από τον εναρμονισμένο αποτελεί ρεκόρ μετά το 2000.
Αλλά, η διαπίστωση από την εξέλιξη και των δύο πληθωρισμών από το 2000 έως και τον Ιούνιο του 2025 δεν είναι μόνο το παραπάνω σκορ, αλλά η δραστική αλλαγή στην παράλληλη πορεία τους, η οποία σημειώθηκε μετά τον Μάρτιο του 2023, όταν άρχισε να εμφανίζεται ο εθνικός πληθωρισμός συνεχώς ανά μήνα χαμηλότερος από τον εναρμονισμένο με το παραπάνω ρεκόρ τον περασμένο Μάϊο και Ιούνιο 2025.
Μεθοδολογικές πληροφορίες
Ο εθνικός δείκτης τιμών καταναλωτή καθώς και ο εναρμονισμένος δείκτης τιμών καταναλωτή καταρτίζεται από την Ελληνική Στατιστική Αρχή (ΕΛΣΤΑΤ). Σκοπός του πρώτου είναι η μέτρηση του γενικού επιπέδου των τιμών των αγαθών και των υπηρεσιών που προμηθεύεται το μέσο ελληνικό νοικοκυριό. Κάθε έτος επικαιροποιούνται οι συντελεστές στάθμισης (ως ποσοστό επί τοις χιλίοις της συμμετοχής των δαπανών για κάθε ομάδα, υποομάδα και είδος, στο σύνολο των δαπανών του μέσου νοικοκυριού, ενώ για τον υπολογισμό των σταθμίσεων χρησιμοποιούνται τα στοιχεία της πλέον πρόσφατης διαθέσιμης Έρευνας Οικογενειακών Προϋπολογισμών (ΕΟΠ).
Όπως επισημαίνει η ΕΛΣΤΑΤ, ο δείκτης, προσαρμοσμένος, σε ετήσια βάση, στις πρόσφατες καταναλωτικές δαπάνες των νοικοκυριών της χώρας εξασφαλίζει την αντιπροσωπευτικότητα των αγαθών και υπηρεσιών που συνθέτουν το «καλάθι αγορών» του μέσου νοικοκυριού. Σκοπός του δεύτερου δείκτη, ο οποίος καταρτίζεται από τα κράτη μέλη της ΕΕ σύμφωνα με Κανονισμούς της Ευρωπαϊκής Ένωσης, είναι να παρέχει συγκρίσιμα στοιχεία για τον πληθωρισμό των κρατών μελών και για τον υπολογισμό του εναρμονισμένου δείκτη τιμών καταναλωτή της Ευρωπαϊκής Ένωσης και του εναρμονισμένου δείκτη τιμών καταναλωτή της Ευρωζώνης.
Όπως μας ενημερώνει η ΕΛΣΤΑΤ, χαρακτηριστικό γνώρισμα των εναρμονισμένων δεικτών είναι ότι καταρτίζονται σύμφωνα με μία σειρά τεχνικών μέτρων, όπως αυτά ορίζονται από τους σχετικούς Κανονισμούς της Ευρωπαϊκής Ένωσης, όπως: χρησιμοποίηση ενιαίας ταξινόμησης των ειδών, επιλογή του τύπου υπολογισμού των ατομικών δεικτών, η γεωγραφική και πληθυσμιακή κάλυψη συνόλου χώρας, η κάλυψη των ειδών και η κατάρτιση συγκεκριμένων υποδεικτών, οι ελάχιστες προδιαγραφές για την τιμοληψία και τη δειγματοληψία, οι προσαρμογές λόγω ποιοτικών διαφορών των ειδών, η ενιαία αντιμετώπιση των τιμολογίων των επιχειρήσεων κοινής ωφέλειας.
Η μόνη σχεδόν διαφορά είναι ότι οι συντελεστές στάθμισης των ειδών του δείκτη αυτού υπολογίζονται βάσει των καταναλωτικών δαπανών, που εξαιρούνται για τον εθνικό δείκτη, όπως οι δαπάνες που πραγματοποιούνται στην ημεδαπή από τα νοικοκυριά μόνιμων κατοίκων, τους ξένους επισκέπτες (τουρίστες) και τα άτομα που διαμένουν σε ιδρύματα και συλλογικά νοικοκυριά (γηροκομεία, οικοτροφεία, φυλακές κλπ.). Πηγές προέλευσης των στοιχείων δαπανών για τον υπολογισμό των συντελεστών στάθμισης των ειδών του του εναρμονισμένου δείκτη είναι ίδιες, δηλαδή είναι οι εθνικοί Λογαριασμοί και η Έρευνα Οικογενειακών Προϋπολογισμών (ΕΟΠ).
Εναρμονισμένος πληθωρισμός – Βάση για τον ευρωζωνικό!
Χωρίς κανένα υπαινιγμό για αμφισβήτηση της αντιπροσωπευτικότητας και της κοινοτικής και επιστημονικής μεθοδολογίας κατάρτισης των δύο δεικτών καταναλωτή, η επί 27 μήνες (μετά τον Μάρτιο του 2023) συνεχής εμφάνιση του εθνικού πληθωρισμού χαμηλότερα από τον εναρμονισμένο (πίνακας 2), καθώς και η σημαντική διαφορά της μεταβολής δύο κρίσιμων ομάδων αγαθών και υπηρεσιών (στέγαση και πολιτισμός – αναψυχή) κατά δύο και 1,4 μονάδες αντίστοιχα, εγείρουν ερωτήματα όχι τόσο γύρω από το σκορ, αλλά γύρω από τη σημασία τους για τα όλα τα νοικοκυριά (ατομικά και συλλογικά) και τις διαπιστώσεις από τη συγκρισιμότητά τους, την ανταγωνιστικότητα, εξωστρέφεια κλπ, δεδομένου ότι ο εναρμονισμένος δείκτης τιμών καταναλωτή κάθε χώρας αποτελεί τη βάση για τον υπολογισμό και του αντίστοιχου της Ευρωζώνης.
Κάνω αυτή την επισήμανση, διότι οσάκις η ΕΛΣΤΑΤ ανακοινώνει τον χαμηλότερο πληθωρισμό 2,5%, για παράδειγμα, κυβερνητικοί αξιωματούχοι σχολιάζουν σχεδόν διθυραμβικά αυτή την εξέλιξη, χωρίς λέξη για τον εναρμονισμένο που ανακοίνωσε την ίδια ημέρα η ΕΛΣΤΑΤ υψηλότερο κατά 0,8 μονάδες και που προοιωνίζεται την ίδια σχεδόν διαφορά με τον μέσο πληθωρισμό στην Ευρωζώνη και την Ευρωπαϊκή Ένωση!
Ερωτήματα απλά που ζητούν απαντήσεις
Από τη στιγμή, λοιπόν, που δεχόμαστε ότι εφαρμόζεται η ίδια διοικητική, επιστημονική και κοινοτική μεθοδολογία κατάρτισης και των δύο δεικτών, η μονίμως εμφανιζόμενη «ωραιότερη πληθωριστική ατμόσφαιρα» για τα νοικοκυριά σε σύγκριση με τον εναρμονισμένο (που στην πραγματικότητα είναι κοινοτικός!) των συλλογικών νοικοκυριών, των γηροκομείων, των φυλακών, των τουριστών προκαλεί κύκλωση ερωτημάτων, μετά την παραδοχή ότι οι «πηγές προέλευσης των στοιχείων δαπανών για τον υπολογισμό των συντελεστών στάθμισης των ειδών και του εθνικού και του εναρμονισμένου δείκτη είναι ίδιες, δηλαδή είναι οι εθνικοί Λογαριασμοί και η Έρευνα Οικογενειακών Προϋπολογισμών (ΕΟΠ)».
Τα ερώτημα, λοιπόν, είναι ένα απλό και εύλογο: από την επικαιροποίηση αυτών των στοιχείων δαπανών προέκυψε ότι τα καθαρώς ελληνικά νοικοκυριά πλήττονται συνεχώς και επί 27 μήνες λιγότερο από την ακρίβεια από ό,τι τα συλλογικά και οι τουρίστες; Διότι, αν συμβαίνει αυτό, τότε ουαί και αλίμονο! Και η μελαγχολική αυτή διαπίστωση επιβεβαιώνεται από τα στοιχεία του παρατιθέμενου πίνακα 1, από τα οποία προκύπτει ότι τον περασμένο Ιούνιο δύο κρίσιμες ομάδες αγαθών και υπηρεσιών για το κόστος λειτουργίας συλλογικών νοικοκυριών και τις δαπάνες των τουριστών, δηλαδή “στέγαση” και “πολιτισμός-αναψυχή”, εμφανίζονται ακριβότερες από τις αντίστοιχες του εθνικού δείκτη κατά δύο και 1,4 μονάδες! Το ίδιο σκορ παρατηρείται και τον περασμένο Μαϊο στο κόστος στέγασης (ο εθνικός δείκτης είναι χαμηλότερος πάλι κατά μονάδες)!





