Η φορολογική ”κατάρα” για τα νοικοκυριά στην Ελλάδα
08/05/2025
Στην οικονομική δημοσιογραφία μου στις εφημερίδες «Τα Νέα» και «Το Βήμα» και, φυσικά, στον «Οικονομικό Ταχυδρόμο» και στο απέραντο αρχείο μου με έκανε να ανατρέξω ο άξιος συνάδελφος Γιάννης Αγουρίδης. Συγκεκριμένα με έκανε να ανατρέξω το άρθρο του με τίτλο «Πώς το φορολογικό σύστημα στην Ελλάδα δημιουργεί προβλήματα σε οικογένειες με παιδιά», το οποίο δημοσιεύθηκε στον «Οικονομικό Ταχυδρόμο» στις 26 Μάϊου 2024.
Ιδιαίτερα, με έκαναν να ανατρέξω στο αρχείο μου αυτό οι διαπιστώσεις εκθέσεων του ΟΟΣΑ για την άδικη, επί… 70 χρόνια, φορολογία στην Ελλάδα και τις εξοντωτικές συνέπειές της στο οικογενειακό εισόδημα μισθωτών και συνταξιούχων και στην επιδείνωση του δημογραφικού προβλήματος με την εγκληματική φορολογική μεταχείριση για τα πολυμελή νοικοκυριά, έναντι των… άγαμων εισοδηματιών!
Συγκεκριμένα, ο αγαπητός συνάδελφος στο παραπάνω άρθρο του αναφέρει τις ακόλουθες διαπιστώσεις έκθεσης του ΟΟΣΑ: Η Ελλάδα κατατάσσεται στις τελευταίες θέσεις των χωρών-μελών με κριτήριο τη φορολογική μεταχείριση των γονέων. Ο συντελεστής κρατήσεων για φόρους και ασφαλιστικές εισφορές περιορίζεται από το 37,1% που ισχύει για τον άγαμο, μόλις στο 33,7% για τον παντρεμένο με δύο παιδιά, δηλαδή μόλις κατά 3,3 ποσοστιαίες μονάδες. Σημειώνεται ότι ο μέσος όρος για τις χώρες του ΟΟΣΑ είναι 9 ποσοστιαίες μονάδες και ο μέσος όρος για τις χώρες της Ευρωπαϊκής Ένωσης… ποσοστιαίες 11,4 μονάδες!
Στην Ελλάδα, ο συντελεστής κρατήσεων που επιβάλλεται στους εργαζομένους για όλες τις χώρες-μέλη του οργανισμού (ο συντελεστής αυτός λαμβάνει υπόψη ασφαλιστικές εισφορές εργοδότη και εργαζομένου, παρακράτηση φόρου εισοδήματος και άμεσες εισοδηματικές ενισχύσεις, αλλά διαφέρει ανάλογα με την οικογενειακή κατάσταση και για κάθε χώρα λαμβάνεται υπόψη το μέσο ετήσιο εισόδημα) και για τον άγαμο και για τον γονέα των δύο τέκνων έχει διαφορά μεταξύ ου άγαμου και του γονέα των δύο παιδιών 3,35 ποσοστιαίες μονάδες, ενώ στην Ισπανία φτάνει στις 5 μονάδες, στη Γαλλία στις 7,8 μονάδες, στην Πορτογαλία στις 10,3 μονάδες, στην Ιρλανδία στις 14 μονάδες και στη Γερμανία στις 15 μονάδες.
Ήταν στραβό το κλήμα κι έγινε χειρότερα με τον πληθωρισμό, καθώς η μη τιμαριθμοποίηση της φορολογικής κλίμακας επιβεβαιώνει, όπως θα αναφέρω στη συνέχεια τις επί 40 χρόνια διαπιστώσεις μου στις παραπάνω εφημερίδες, για τη διαχρονική πραγματική φορολογική επιβάρυνση των μισθωτών. Αυτή η επιβάρυνση, σύμφωνα με στοιχεία του ΟΟΣΑ αυξήθηκε το 2023. Συγκεκριμένα, για τον άγαμο εργαζόμενο με μέσο μισθό η αύξηση ήταν 0,44 ποσοστιαίες μονάδες (και έφτασε έτσι στο 38,5%), ενώ για το ζευγάρι με δύο παιδιά ήταν 0,59 ποσοστιαίες μονάδες (και έφτασε έτσι στο 37,5%). Κατά μέσον όρο στις χώρες του ΟΟΣΑ η αύξηση ήταν μικρότερη.
Η απόσταση μεγαλώνει εάν πρόκειται για έναν εργαζόμενο που έχει και δύο παιδιά (οι κρατήσεις είναι στο 37,1% έναντι 25,7% στον ΟΟΣΑ, με την Ελλάδα να καταλαμβάνει την έκτη υψηλότερη θέση). Εάν πάλι η σύγκριση γίνει για υψηλότερες αποδοχές (39.305 ευρώ ή στο 167% του μέσου όρου της χώρας) τότε ο συντελεστής εκτινάσσεται στο 44%!
Διαχρονική ιστορία για τα νοικοκυριά…
Για τα παραπάνω στοιχεία, λοιπόν, προσέτρεξα τάχιστα στο απέραντο αρχείο μου! Διότι, αυτή η μελαγχολική φορολογική κατάσταση δεν αφορά μόνο το 2023, αλλά όλα τα προηγούμενα χρόνια έως… το 1955, όταν πρωτοεμφανίστηκε η φορολογική κλίμακα. Αυτή, λοιπόν, την πραγματικότητα ενός μόνιμα αντιοικογενειακού-αντιεργατικού-αντιαναπτυξιακού-αναποτελεσματικού-άδικού και φορομπηχτικού για φορολογούμενους που αποκτούν εισοδήματα από συγκεκριμένη πηγή (μισθωτοί, συνταξιούχοι) φορολογικού συστήματος παρουσίαζα συνεχώς στο «Βήμα» και τα «Νέα» σε τέσσερις στήλες καθημερινώς – «Ριπές», «Το Πολιτικό Βαρόμετρο», «Προβολείς» και «Η άλλη όψη» και φυσικά στον «Οικονομικό Ταχυδρόμο» από το 1970 έως και το 2001 και στη συνέχεια σε άλλες εφημερίδες.
Είναι μελαγχολική η γενική διαπίστωση, που προκύπτει από τη μελέτη του δημοσιογραφικού αρχείου μου, ότι, όπως σημειώνω στο κύριο άρθρο της εφημερίδας «Νέα» (στη στήλη «Ριπές», 15 Νοεμβρίου 1986), σχολιάζοντας το … έκτο από το 1982 έως τότε φορολογικό νομοσχέδιο, όλες σχεδόν οι ρυθμίσεις αφορούσαν την αναμόρφωση των φορολογικών κλιμακίων, τις εκπτώσεις από το εισόδημα, τις εκπτώσεις από το φόρο, τα τεκμήρια βιωσιμότητας τις εφάπαξ – η λέξη έχει χάσει πια στον τόπο μας τη σημασία της – εισφορές, δηλαδή με δύο λόγια την ωραιοποίηση μιας εικόνας που μεταμορφωνόταν σε βδέλλα στα εκκαθαριστικά σημειώματα της εφορίας».
Αυτή η θλιβερή φορολογική πραγματικότητα συνεχίζεται, επιδεινούμενη συνεχώς, μολονότι μετά το 1980 ψηφίστηκαν… 150 φορολογικοί νόμοι, εντάχθηκαν 2.000 συναφείς διατάξεις σε άλλους… νόμους, ιδρύθηκαν ειδικές ανεξάρτητες αρχές και έκαναν αφειδώς υποσχέσεις προεκλογικώς στα μπαλκόνια και στη Βουλή κατά την κατάθεση και τη συζήτηση κρατικών προϋπολογισμών για … ελαφρύνσεις και ρυθμίσεις και υπέγραφαν Μνημόνια με υποσχέσεις στην τρόικα για… «αναμορφώσεις» κα … «μεταρρυθμίσεις» του φορολογικού συστήματος.
Η κατάρα της πολυμελούς οικογένειας στην Ελλάδα
Η φορολογική δυστυχία της πολυμελούς οικογένειας στην Ελλάδα εντοπίζεται στην επιλογή των κυβερνήσεων όλων των εποχών να θυσιάζουν το μέλλον του έθνους στον βωμό δημοσιονομικών σκοπιμοτήτων, όπως προκύπτει από τα πορίσματα και προτάσεις διάφορων επιτροπών (για παράδειγμα, το 1988 και το 1991)για την… «αναμόρφωση» τάχα και τον… «εκσυγχρονισμό» τάχα του φορολογικού συστήματος.
Απλώς αναφέρω σχετικό «στρίβειν» της Επιτροπής του Νοεμβρίου του 1991, η οποία στην έκθεσή της που είναι διάχυτη ούσα, όπως επισημαίνω σε άρθρο μου στα «Νέα» με τίτλο «Οι αδικίες είναι εδώ» (27 Νοεμβρίου 1991), από τη νοοτροπία όλων των υπουργών Οικονομικών να μην απολεσθούν έσοδα από φόρους και να μην επιδεινωθούν ακόμη περισσότερο τα τρομακτικά ελλείμματα του Δημοσίου, απέφυγε το «πικρόν ποτήριον» της εισήγησης μιας τολμηρής , επιτέλους, φορολογικής μεταρρύθμισης, σπεύδει να τονίσει τα εξής: «Η οικονομική κατάσταση της χώρας δεν προβλέπεται να είναι ευνοϊκή και το έτος 1992, με αποτέλεσμα να μην είναι δυνατόν να ισχύσουν από του έτους αυτού όλες οι προτεινόμενες φορολογικές μεταρρυθμίσεις, αφού θα επέφεραν μεγάλη απώλεια εσόδων, πράγμα που δεν επιτρέπουν τα δημοσιονομικά έσοδα…».
Για την ιστορία σημειώνω δεν ίσχυσαν ποτέ αυτές οι φορολογικές … «μεταρρυθμίσεις», όπως και προηγούμενες του …1988 και οι επόμενες νυν και αεί…Προς επίρρωσιν παραθέτω τα ακόλουθα στοιχεία από τα εκατοντάδες άρθρα μου και αντίστοιχα κείμενα σε βιβλία μου. Η διαπίστωση του ΟΟΣΑ για τη φορολογικής επιβάρυνση της οικογένειας με παιδιά στην Ελλάδα είναι η … ίδια με εκείνη κι όλων των προηγούμενων ετών. Επιγραμματικά, αναφέρω τα ακόλουθα:
- Το 198, δηλαδή ένα χρόνο πριν από τη φορολογική «μεταρρύθμιση», η φορολογική επιβάρυνση άγαμου ήταν 13,93 % και του έγγαμου με δύο παιδιά ήταν 12%.
- Από τη φορολογική «μεταρρύθμιση» του 1988 προέκυψε ότι του άγαμου η φορολογική επιβάρυνση αυξήθηκε κατά μία μονάδα (14%), όπως και του έγγαμου με δύο παιδιά (13%). Επίσης, ένας άγαμος είχε αύξηση του εισοδήματος από τις φορολογικές ρυθμίσεις κατά 3,5%, ενώ ένας έγγαμος καθόλου ή ένας άγαμος είχε μείωση του φόρου μηνιαίως, ενώ ο έγγαμος καθόλου!
- Η ίδια διαπίστωση προκύπτει και από άρθρο μου στην εφημερίδα «Τα Νέα» με τίτλο «0+0=+16 στις 22 Απριλίου 1992, όταν το δημογραφικό επιδεινωνόταν συνεχώς και εξελισσόταν σε μέγιστο εθνικό πρόβλημα, παρά τη φορολογική «μεταρρύθμιση» που προωθήθηκε το 1991, όπως προανέφερα.
Συγκεκριμένα, στο σχόλιο αυτό επεσήμαινα, μεταξύ άλλων, τα εξής: «Επιβεβαιώνεται πανηγυρικά η διαπίστωσή μου ότι με τα νέα φορολογικά μέτρα ευνοούνται οι άγαμοι, οι απλώς έγγαμοι και υψηλόμισθοι και πλήττονται άγρια οι χαμηλόμισθοι και, συνεπώς, ο χαρακτηρισμός των μέτρων αυτών ως μιας τρελής φορολογικής μεταρρύθμισης….».
Στο σχόλιο αυτό παρέθετα τα συμπεράσματα που προέκυπταν από τους υπολογισμούς μου για τις μεταβολές στο εισόδημα από μισθούς και συντάξεις από τη νέα φορολογία με πολλά παραδείγματα, όπως: Ένας άγαμος ετήσιου εισοδήματος 1.500.000 δραχμών έχει αύξηση εισοδήματος κατά 5,4%, ενώ, αντίθετα, ένας έγγαμος ίδιου εισοδήματος με τρία παιδιά έχει μείωση κατά 1,2% και ένας έγγαμος με τέσσερα παιδιά μείωση μόνο κατά 0,9%. Άλλο παράδειγμα: Ένας άγαμος με ετήσιο εισόδημα 2.000.000 δραχμών έχει… αύξηση μισθού κατά… 16%, ενώ ένας έγγαμος με τέσσερα παιδιά… μείωση κατά… 1,4%!
Για την αντιμετώπιση αυτών των φορολογικών παραδόξων, είχε μαλλιάσει η γλώσσα μου να προτείνω την εφαρμογή και στην Ελλάδα του γαλλικού συστήματος της φορολόγησης του οικογενειακού εισοδήματος, δηλαδή της διαίρεσης του συνόλου (κύριου, συζύγου, προστατευόμενων μελών) με ένα συντελεστή που να αναφέρεται στον αριθμό των προστατευόμενων μελών και, στη συνέχεια, της εύρεσης του αναλογούντος φόρου! Πρόκειται για ένα σύστημα φορολόγησης του οικογενειακού εισοδήματος, που οδηγεί στη μείωση της φορολογικής επιβάρυνσης της οικογένειας, ευνοεί σημαντικά τις πολυμελείς οικογένειες , τους μισθωτούς και συνταξιούχους.
Η κατάρα για τα νοικοκυριά
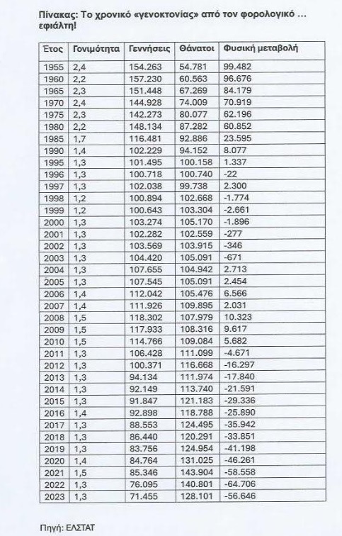
Θύματα της εφαρμοζόμενης από το 1955 φορολογικής πολιτικής είναι, πέρα από την ανάπτυξη, την απασχόληση και του… αόριστου «δημοσιονομικού χώρου», είναι οι μισθωτοί και οι συνταξιούχοι, οι οποίοι έχουν εξελιχθεί σε υποζύγια ενός ολοένα αυξανόμενου φορολογικού βάρους, όπως προκύπτει από πίνακα που δημοσιεύω από το 1961 με επικαιροποιημένα στοιχεία κάθε χρόνο έως σήμερα.
Το πρόβλημα της συνεχιζόμενης επί δεκαετίες αυτής φορολογικής αδικίας εντοπίζεται, όπως προκύπτει από αναλύσεις, άρθρα και σχόλια στις παραπάνω εφημερίδες, στην αδυναμία των κυβερνήσεων να τιθασεύουν τον καλπασμό των δαπανών και να προωθούν μεταρρυθμίσεις που να προβαίνουν στο χτίσιμο μιας φορολογικής κλίμακας που να εξασφαλίζει ομαλή εξέλιξη των συντελεστών και της φορολογικής επιβάρυνσης, μείωση της φοροδιαφυγής και ενίσχυση της ανάπτυξης με την αύξηση του διαθέσιμου εισοδήματος.
Όλα αυτά συμβαίνουν διότι τόσο οι οριακοί φορολογικοί συντελεστές όσο και το εύρος των κλιμακίων καθορίζονται αυθαίρετα και χωρίς μια συγκεκριμένη αρχή, δηλαδή να αυξάνονται σταδιακά και ομαλά ( κατά τρεις ποσοστιαίες τα δύο πρώτα, κατά τέσσερις το επόμενο κλπ), ενώ οι φορολογικοί συντελεστές , με την αύξηση του εισοδήματος, δεν μεταβάλλονται κατά τις ίδιες ποσοστιαίες μονάδες όπως και το εύρος των κλιμακίων. Δύσκολα πράγματα, πρότεινα θα μού πείτε.
Ακριβώς, για τους λόγους που προανέφερα: διότι δεν εξασφάλιζαν έσοδα από ανύπαρκτα εισοδήματα, όπως συμβαίνει συνεχώς μετά το 198, όπου οι μεταβολές των φορολογικών εσόδων και ΦΠΑ είναι υψηλότερες από τις αντίστοιχες του ονομαστικού ΑΕΠ!
Το “παραμύθι” με την τιμαριθμοποίηση
Αλλά, κι ένα ορθό (πόσο μάλλον κακό!) χτίσιμο της φορολογικής κλίμακας αχρηστεύεται αν, παράλληλα, δεν συνοδεύεται από τιμαριθμοποίησή της! Πρόκειται ίσως για το πιο δύσκολο, για όλες τις κυβερνήσεις, πρόβλημα, καθώς ενώ συνεχώς εξαγγελλόταν, ελάχιστες φορές θεσπιζόταν ή κι αν θεσπιζόταν αμέσως … καταργούνταν!
Συνέβαιναν κι άλλα παράδοξα, όπως το 1994, για παράδειγμα, όταν αντί τιμαριθμοποίησης της φορολογικής κλίμακας έγινε αύξηση του ανώτατου φορολογικού συντελεστή από 40% σε… 45%!!! Οι συνέπιες της φορολογικής αυτής κλοπής για το διαθέσιμο και πραγματικό εισόδημα ήταν και εξακολουθούν να είναι δραματικές. Συνέβαινε και συμβαίνει μάλιστα όλες σχεδόν οι φορολογικές κλίμακες να είναι ευνοϊκότερες για τα υψηλά εισοδήματα!
Υπενθυμίζεται ότι η τιμαριθμοποίηση της φορολογικής κλίμακας νομοθετήθηκε για πρώτη φορά το 1981 και εφαρμόστηκε για τα εισοδήματα του 1981, αλλά δεν προβλέφθηκε όμως να είναι ετήσια κι έτσι για πολλά χρόνια παρέμενε αμετάβλητη. Απλώς αναφέρω ότι κλίμακα του 1997 ήταν ίδια με εκείνη του 1992, ενώ ο πληθωρισμός ο πληθωρισμός είχε αυξηθεί κατά την περίοδο αυτή κατά 40%. Αυτό σημαίνει ότι η «δημοσιονομική απορρόφηση» ή «κεκρυμμένος φόρος», ο αδικαιολόγητος φόρος, είχε λεηλατήσει τα εισοδήματα κατά 40%.
Νομίζω ότι δεν υπάρχει χρεία άλλων στοιχείων. Απλώς σημειώνω αυτό που έγραφα χρόνια: η τιμαριθμική αναπροσαρμογή της φορολογικής κλίμακας, την οποία αναφέρει και ο ΟΟΣΑ, διατηρεί την προοδευτικότητα της κλίμακας (κι ας λένε μερικοί το αντίθετο!), προστατεύει τον φορολογούμενο από τη δημοσιονομική βδέλλα και ενισχύει τα αναγκαία για ένα σωστό φορολογικό σύστημα τα αναδιανεμητικά χαρακτηριστικά της φορολογικής κλίμακας και ενισχύει το εισόδημα και την απασχόληση.





