Παρά τους καημούς μας, πίνουμε λιγότερο από όλους στην ΕΕ!
09/12/2025
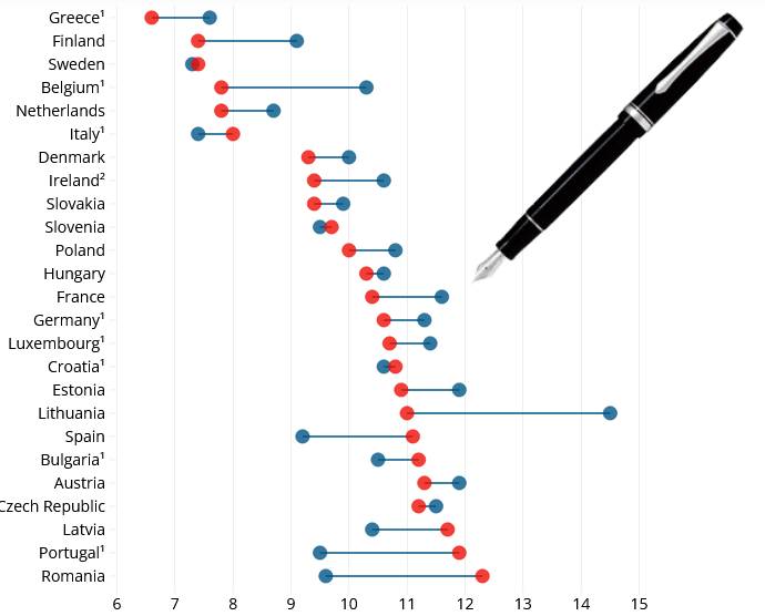
Σύμφωνα με έρευνα του ΟΟΣΑ, οι Έλληνες πίνουμε λιγότερο από όλους τους ευρωπαϊκούς λαούς, αλλά και από σχεδόν όλα τα μέλη του ΟΟΣΑ. Σύμφωνα με τον πίνακα που παρατίθεται, το 2023 πίναμε κατά κεφαλή 7,4 λίτρα.
Υπάρχει όμως ένα στοιχείο που δεν λαμβάνει υπ’ όψιν της η έρευνα για την κατανάλωση αλκοόλ, επειδή εστιάζεται σε θέματα υγείας. Εκείνο που παίζει ρόλο και δεν φαίνεται από τους “σκέτους” αριθμούς, είναι η χρεωκοπία και η αποχώρηση πολλών χιλιάδων αλλοδαπών που έφυγαν για άλλες χώρες, ώστε να έχουν δουλειά. Αυτή η μαζική φυγή αλλοδαπών από την Ελλάδα, αλλά και Ελλήνων ως μεταναστών που αναζήτησαν καλύτερους μισθούς στο εξωτερικό, καταγράφηκε μόνο στην δική μας χώρα κατά την περίοδο της δεκαετίας που εξετάζεται. Η δε μείωση στην κατανάλωση άρχισε από το 2010 και όχι από το 2013.
Ένα άλλο στοιχείο που δεν αγγίζει η Health at a Glance του ΟΟΣΑ και μέρος της οποίας δημοσιεύεται και από το euronews, είναι το κόστος του αλκοόλ: Ακόμη και χωρίς να συνεξετασθούν τα εισοδηματικά κριτήρια, με την Ελλάδα να ανήκει στις χώρες με τα χαμηλότερα εισοδήματα, υπάρχει οικονομική ερμηνεία της σχετικής “αποχής” από το αλκοόλ, καθώς είμαστε μεταξύ των χωρών που το έχουν πολύ ακριβό σε απόλυτες τιμές.
Αν μάλιστα ληφθεί υπ’ όψιν η μεγάλη διαφορά στους μισθούς και ημερομίσθια, στην Ελλάδα το αλκοόλ δεν είναι απλώς ακριβό σε σύγκριση με άλλες χώρες, αλλά πανάκριβο. Η σύγκριση από την Health at a Glace μέτρησε πόσα λίτρα αλκοόλ καταναλώνονται κατά κεφαλήν σε κάθε χώρα χωρίς να υπεισέλθει στο εισοδηματικό πρόβλημα. Όμως, στην Γερμανία όπου ο μέσος μισθός είναι καθαρά 3.200 ευρώ, ένα μπουκάλι μέτριας ποιότητας κρασιού πωλείται έξι ευρώ, ενώ στην Ελλάδα με μέσο μισθό τα 1.080 ευρώ, η ίδια ποιότητα και ίση ποσότητα κρασιού, πωλείται 9 ευρώ!
Έξι χώρες της ΕΕ κατέγραψαν κατανάλωση κάτω του μέσου όρου, με την Ελλάδα να αναφέρει τη χαμηλότερη ποσότητα, με 6,6 λίτρα κατά κεφαλήν. Αντίθετα, η Ρουμανία, η Πορτογαλία, η Ισπανία και η Λετονία είχαν την υψηλότερη κατανάλωση, φτάνοντας έως και τα 11,5 λίτρα ετησίως. Οι μεγαλύτερες αυξήσεις στην πορεία της εξεταζόμενης δεκαετίας, καταγράφηκαν στην Πορτογαλία, την Ισπανία και τη Ρουμανία, όπου η ετήσια κατανάλωση αλκοόλ ανά κάτοικο αυξήθηκε κατά δύο λίτρα ή περισσότερο.
Στον πίνακα που παρατίθεται, με κόκκινο είναι η κατανάλωση του 2023 και με μπλε του 2013. Στις χώρες με εκθέτη τον αριθμό 1, τα πιο πρόσφατα στοιχεία κατανάλωσης ήταν του 2022 και αυτό αφορά και στην Ελλάδα. Κάτω κάτω, ξεκινώντας από το 6, αναγράφεται ο αριθμός των λίτρων κατά κεφαλή.
Η κατανάλωση αλκοόλ στην Ελλάδα είχε μειωθεί ακόμα περισσότερο το 2020 λόγω καραντίνας και κλειστής εστίασης, αλλά το 2021 αυξήθηκε κατά τι. Εκτός Ευρώπης, οι χώρες που πίνουν λιγότερο από όλες είναι (για διαφορετικούς λόγους η κάθε μία) το Ισραήλ με 2,7 λίτρα κατά κεφαλήν, η Τουρκία με 1,7 και η Ινδονησία, με 0,1 λίτρο (μπορείτε να δείτε πόσο πίνουν και οι άλλες χώρες, εδώ). Δεν αναφέρονται εν γένει μουσουλμανικές χώρες, πλην της Τουρκίας και της Ινδονησίας.





